我们来详细解释一下华为鸿蒙3.0的正式版、内测版和公测版之间的区别,以及如何升级到鸿蒙3.0。
"鸿蒙3.0版本类型区别"
鸿蒙操作系统(HarmonyOS)的版本发布通常会遵循从内测到公测再到正式版的流程,每个阶段的版本都有其特点和目标:
1. "内测版 (Internal Beta Version)"
"目标用户:" 主要面向华为内部的员工、测试人员以及被邀请的种子用户(可能通过“我的华为”App的邀请码或特定社区)。
"主要特点:"
"功能探索与Bug挖掘:" 这是版本中最早期的一个版本,主要目的是让小范围用户在日常使用中探索新功能,发现潜在的Bug和问题。
"系统不稳定:" 稳定性相对较差,可能会出现各种Bug、闪退、卡顿等问题。
"数据风险:" 由于是早期测试,存在一定数据丢失或损坏的风险,用户通常需要自行备份重要数据。
"功能不完善:" 部分新功能可能尚未完全成熟或处于可研阶段。
"目的:" 收集最广泛的早期反馈,为后续版本优化提供依据。
2. "公测版 (Public Beta Version)"
"目标用户:" 向更广泛的用户群体开放测试,包括
相关内容:
最近流行的一句问候语:你的华为手机升级鸿蒙3.0了吗?哈哈,开一句玩笑。不过,在华为机友之间,还真的会经常这样问候。的确,最近一段时间,鸿蒙3.0真的非常火,一度成为各大的热点。现在鸿蒙3.0正式版已经有20多款手机可以升级,公测版已经第二批了,而鸿蒙3.0内测版已经第三批了。

那么,鸿蒙3.0正式版是什么意思?正式版、公测版、内测版之间又有什么区别?在评论区里就有网友咨询过我:什么是鸿蒙3.0正式版?所以,接下来我将对鸿蒙3.0正式版、内测版、公测版,做一次简单的介绍。
一、内测版。
所谓内测版,就是在指定的人员内部进行测试。鸿蒙3.0内测版是鸿蒙3.0的初级阶段的测试版本,分为log版本和nolog版本,系统的核心功能已经完善,但系统的稳定性还有待提高,或多或少存在一些小bug。所以,内测版不会大面积开放,需要手动申请,而且每种机型申请的名额一般在2000个左右。

申请成功后,就算是测试人员了,需要主动发现问题和反馈问题,这样华为工程师们才能及时修复这些问题,进而让系统更加完善。而且根据相关的保密协议,不得向其他人传播内测版本的相关信息。
二、公测版。
所谓公测版,就是公开测试的版本。鸿蒙3.0内测完成后,就会发布公测版,虽然也是测试版本,但是它没有内测版本那么多苛刻的要求,它没有名额限制,也就是说,只要申请了就可以升级鸿蒙3.0。而且公测版比内测版本要完善得多,系统已经非常稳定,是系统定型之前的最后一次测试。

三、正式版。
所谓正式版,就是正式上线的商用版本。任何操作系统,都会先内测,然后再公测,等公测完成后,才会发布正式商用版(正式版)。可以这么理解,鸿蒙3.0不管是内测版还是公测版,都或多或少存在一些小bug,而鸿蒙3.0正式版就是“已经修复好bug的公测版”,基本上没有bug了,可以对所有华为手机用户开放。

四、怎样升级它们?
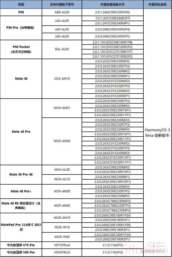
不管是鸿蒙3.0正式版,还是鸿蒙3.0内测版、公测版,都是需要提前把自己的华为手机的鸿蒙2.0系统升级到【基线版本】,否则就没办法升级鸿蒙3.0系统。不同机型的基线版本有所不同,一般情况下,就是你的华为手机机型的鸿蒙2.0的最新版本。

升级基线版本:打开“我的华为”app,点击“服务”按钮,在“服务”界面的“快捷服务”里找到“升级尝鲜”并点击它,就可以检查并升级鸿蒙2.0的最新版本。

升级鸿蒙3.0:打开“我的华为”app,点击“升级尝鲜”按钮。

然后点击“HarmonyOS 3 尝鲜”右侧的“立即查看”按钮,就会进入升级列表界面。在这个界面里,分为3个部分:正式版、公测版、Beta版(内测版)。在这里,我们可以查看当前可以升级鸿蒙3.0的所有手机、平板、智慧屏、手表。

如果你的手机在这个名单中,那么恭喜你,你的手机可以升级鸿蒙3.0了。点击这个界面的“升级尝鲜”(如上图),就会进入升级界面,然后按提示操作就可以了。内测版和公测版都需要申请以后,才能升级;正式版点击进去,就直接升级。具体升级步骤,可以点击下方的链接观看视频教程。

今天就分享到这里,如果觉得好,那就长按下面的“点赞”按钮,给我来个【超级赞】吧。同时,欢迎“评论、收藏、关注”。你还可以点击我的头像,进入我的主页,观看更多的文章和视频。好了,我们下期再见。

微信扫一扫打赏
支付宝扫一扫打赏